您的位置: 網站首頁 » 產品介紹 » 其他煤質設備 » 正文
燒結和球團礦轉鼓產品說明:
SQZG--4 型燒結、球團礦轉鼓,是測定燒結礦和球團礦轉鼓指數和抗磨指數測定的設備。用以檢驗燒結礦和球團礦的抗沖擊性和耐磨性。是高爐用燒結礦和球團礦,檢驗常溫下的機械強度。本轉鼓按照國標 GB/T8209 《燒結礦和球團礦轉鼓強度的測定方法》的要求設計制造。
燒結和球團轉鼓主要技術數據
1 、轉鼓直徑: 1000± 5mm
2 、轉鼓長度: 500± 5mm
3 、轉鼓速度: 25±1.5r/min
4 、電機功率: 1.5KW
5 、輸入電壓: 380 v
6 、預置轉數: 0-9999
7、試樣重量: 15kg
8 、外形尺寸: 1300×1300×1700mm
9 、整機重量: 850 kg
燒結和球團轉鼓結構概述 :
轉鼓主要由機架、滾筒、減速系統、卸料系統、計數裝置等組成。 機架由型鋼焊接而成,主要起到支撐作用,所有部件均安裝在機架上。 滾筒是由鋼板卷制而成,通過兩端支撐半軸、軸承、軸承座安放于支架上,形成一個自由回轉的一個筒體。筒體上開有可以敞開、鎖閉密封的料口,筒內焊有提升板,物料放入滾筒內后轉動時,物料隨之滾動,在提升板的作用下,被拋下自碰破碎。達到預置數后,滾筒停止轉動,物料從料口卸出,完成一個設定試驗周期。 減速系統:主要由電機、聯軸器、蝸輪減速機等組成。起到帶動滾筒以合適的恒定轉速運轉。蝸輪減速機并有自鎖功能。減速系統還配有手動調整裝置,便于卸料和調整計數裝置的感應開關位置距離調整。 卸料裝置:有滾筒卸料口、活絡支撐架、卸料板等組成。轉鼓達到預置轉數 停止后,進入卸料工作。因蝸輪減速機有自鎖功能,需人工攪動裝在減速機 輸入軸上的搖把,使活絡支撐架對準料口上的卡座,然后松動壓緊螺栓,掀開料口蓋板,進行卸料工作。計數裝置:主要起到預置轉數、數字顯示轉數、自動停機的作用。
燒結和球團轉鼓機安裝與試車:
轉鼓機應安裝在通風好,避雨的地方。并要求有維修空間,便于作業。轉鼓須安裝在混凝土地基上,地基深度在500毫米以上。安裝時保證機器水平,傾斜度小于1.5度。混凝土在150號以上。地基達到凝固期后,將地腳螺栓擰緊,方可進行運轉。 將數字顯示計數器置于減速機下方平板上或另置平臺上,盡量避免震動,并盡量遠離有電磁場的物體,以免引起計數裝置誤差。接通輸入電源,計數裝置輸出電源線與轉鼓電動機相連,傳感線插頭插入計數器后面的傳感器插座內,傳感器插頭要對準插座上的缺口方可插入。另一端安裝在機架上,與裝有高強度磁鐵的撥桿對準,其間距在1-3毫米為好。安裝工作完畢,電源線接上,接地線可靠接地。即可進行試車。 機器在出廠前已經進行過試運轉。但在安裝后投入正式工作前,再檢查一遍所有螺栓是否擰緊,各聯結部件是否可靠接觸,蝸輪減速機是否加油。然后先用人工轉動電機聯軸器,使滾筒轉動兩轉以上,確認各部件沒有阻礙時,方可啟動機器。若發現異常情況,立即進行檢修。確認無異常現象時,需空機運轉十五分鐘以上,方可進行負載運轉,正常后再投入生產。
工作原理:
用 15kg 試樣,在內徑 1000mm ,內寬 500mm 的轉鼓中轉動 200 轉后,用孔徑6.3mm和0.5mm的方孔篩進行篩分,對各粒級重量進行稱量并計算轉鼓指數和抗磨指數。
實驗步驟及方法:
1、首先按GB/T 8209的要求進行入鼓試樣的配料。即每個入鼓的試樣應為15±0.15kg,由40.0~25.0mm、25.0~16.0mm、16~10.0mm三級按篩分的比例配制而成。 2、打開鼓門,將稱取配制好的15公斤物料裝入轉鼓,蓋好鼓門,上緊螺栓,啟動控制儀,轉動轉鼓,在規定的轉速下轉動200轉和轉速(25轉/分)連續轉動后,使物料與鼓壁和物料之間相互產生撞擊磨擦作用,以達到測試物料轉鼓指數和抗磨指數,停鼓。 3、若轉鼓停止時鼓門位置不對,不便操作,可用手搖把,將轉鼓應搖到恰當位置。 4、機器停止轉動后,靜止1-2分鐘,使粉塵降落后,再打開鼓門,搖動手搖把,將鼓內的料下到接料板上,然后再將鼓內打掃干凈,準備下次使用。 5、將倒出的試樣用機械搖篩或手篩進行6-3mm和0.5mm粒級的篩分。 6、將上述各粒級的篩分物歸結>6.3mm、6.3~0.5mm、<0.5mm的三部分,并進行稱量分別得出m1、m2、m3。 7、然后進行轉鼓指數T為抗磨指數A的計算。 8、使用時千萬要注意:每次用手搖把搖動轉鼓后應及時取下,以免轉鼓轉動時將手搖把甩出傷人。所以應養成每次起動轉鼓前,檢查有無手搖把的習慣。
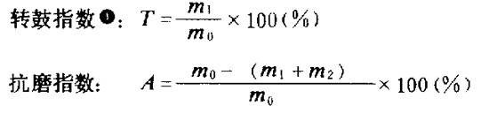
結果計算:
式中:m0- 入鼓試樣重量, kg; m1-- 轉鼓后+6.3mm 粒級部分重量, kg ; m2 -轉鼓后 -6.3mm 粒級部分重量, kg; T、A均取兩位小數值。
或者用機械強度計算器
測定的允許差(精密度)
入鼓試樣重量m0和轉鼓后篩分總重量(m1+m 2+m 3)不能大于之差1.0%,即:
凡差值大下 1.0% 的檢驗試樣應重做。
實驗用其他設備及工具
試驗用鼓前機械手工篩主要規格: 方孔40x40mm,方孔25×25mm,方孔16×16mm ,方孔10×10mm 鼓后機械手工篩規格: 方孔6.3×6.3或5.0×5.0mm; 分析篩:1-2mm、0.5mm
用戶還可根據需要另購:磅秤或臺秤:(規格50kg、1kg 感量1%)鐵鏟容器 ( 竹筐和鐵箱)
燒結和球團轉鼓使用維修和注意事項:
1、減速機及轉鼓兩端的軸承應定時加機油或潤滑油。 2、鼓門處的密封物料應經常檢查,若損壞應及時更換。 3、每次上鼓門都應上緊螺絲,以免轉動時鼓門松動甩出。 4、應經常定期檢查電機及軸承處的溫升。 5、經常定期檢查轉鼓的轉動情況:轉動是否平穩,噪音大不大,有沒有發音,溫升高不高。若有不正常,應立即停機檢查。
ISO球團礦、燒結礦轉鼓前一次、二次振動篩用途:
ISO球團礦、燒結礦轉鼓前一次、二次振動篩主要用于球團礦、燒結礦各級組合含量的測定,它可以替代手篩,消除了人為誤差,提高了檢測的準確性,是球團礦、燒結礦檢測的設備。該機采用優化設計,使其結構更緊湊,操作更簡便,全密封設計,可以檢測>40mm、40-25mm、25-16mm、16-10mm、<10mm五級符合GB8209-87和YB/5166-93的技術要求。
ISO球團礦、燒結礦轉鼓前一次、二次振動篩技術參數:
ISO球團礦、燒結礦轉鼓后機械搖篩用途:
ISO球團礦、燒結礦轉鼓后機械搖篩,適用于高爐用燒結礦和球團礦鼓后進行以粒級的篩分檢測,可替代手篩,同時它還可以提高測定的準確性、可比性,結構緊湊,操作簡單,裝有時間繼電器,使篩分定時可靠,消除了人為誤差,是各球團、燒結廠、鋼鐵廠的檢測設備,各項指標符合GB8209-87和YB/T5166-93的技術要求。
ISO球團礦、燒結礦轉鼓后機械搖篩技術參數:
MK-8型米庫姆轉鼓機 煤樣木框手工制樣篩 煤質化驗計算器 煤樣的制備方法